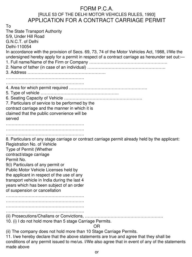
Form P.C.A. – Application for a Contract Carriage Permit is used to obtain authorization for operating contract carriage vehicles under the Delhi Motor Vehicles Rules, 1993. This form captures key details such as applicant information, vehicle specifications, service area, seating capacity, and existing permits to ensure compliance with transport regulations. It enables the State Transport Authority to evaluate eligibility and public convenience before granting the permit. Download Form P.C.A. PDF to apply for a contract carriage permit and legally operate passenger transport services.

Source: https://transport.delhi.gov.in/
File Type: docx



