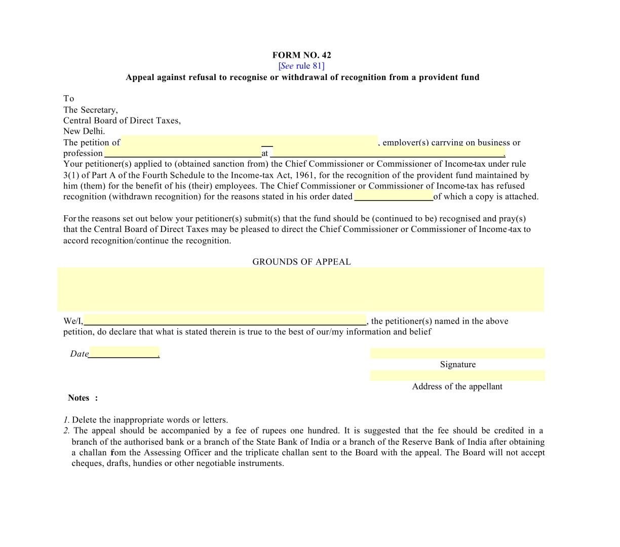
Download Income Tax Form 42 – Appeal against refusal to recognise or withdrawal of recognition from a provident fund under Rule 81. This official form is used by employers or fund trustees to submit an appeal to the Central Board of Direct Taxes (CBDT) when recognition of a provident fund is denied or withdrawn. Get the editable PDF template to review required details, grounds of appeal, and compliance requirements as per Income Tax Department regulations.

Source: https://incometaxindia.gov.in



