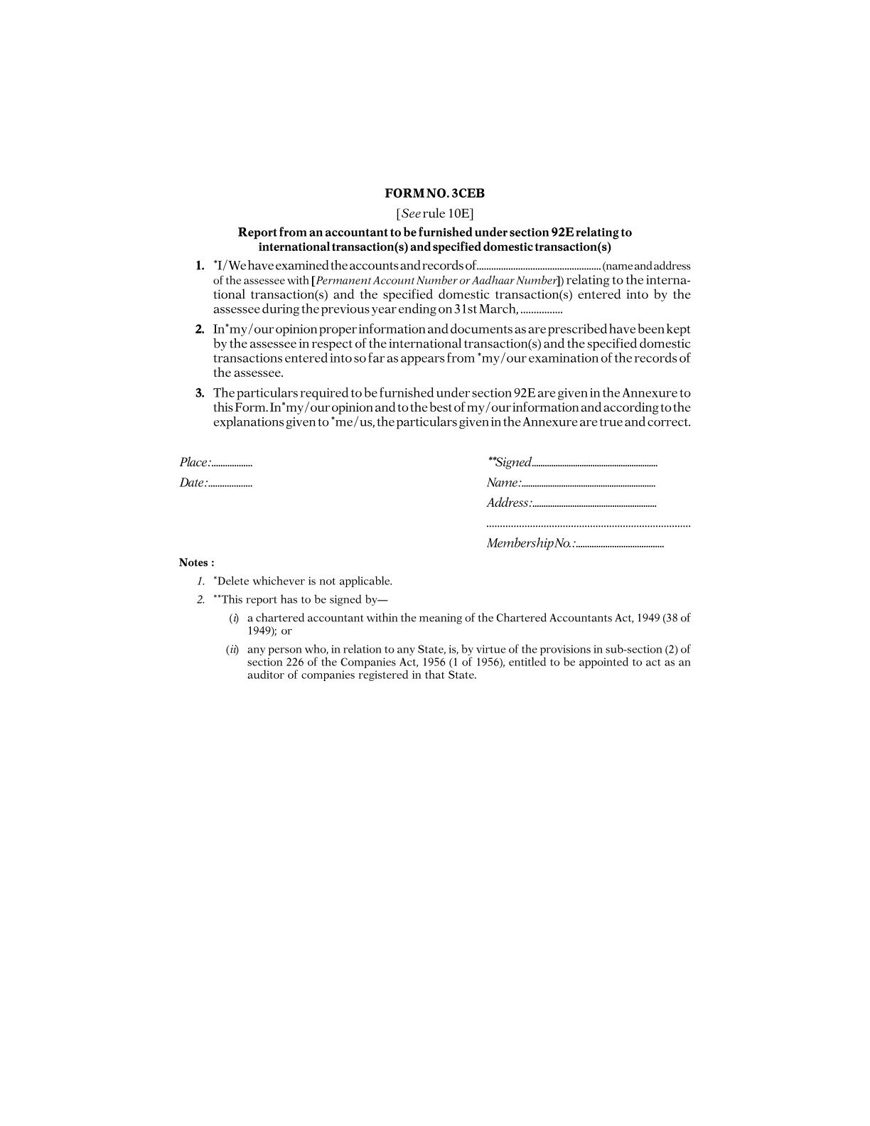
Form 3CEB is a mandatory report under Section 92E of the Income-tax Act, 1961, to be furnished by a chartered accountant for taxpayers involved in international transactions or specified domestic transactions. This form certifies that proper documentation and records have been maintained in compliance with transfer pricing regulations. Filing Form 3CEB helps ensure transparency, accurate reporting of related-party transactions, and adherence to Indian transfer pricing laws. Download the Form 3CEB PDF to review the official format and prepare the accountant’s report for timely and compliant tax filing.

Source: https://incometaxindia.gov.in



