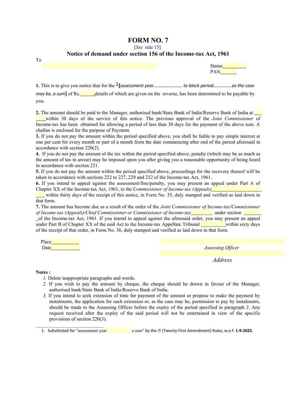
Form No. 7 is a Notice of Demand issued under Section 156 of the Income-tax Act, 1961, informing taxpayers about outstanding tax, interest, penalty, or other dues payable to the Income Tax Department. The notice specifies the amount due, payment deadline, and consequences of non-payment, including interest, penalties, or recovery proceedings. This form ensures timely compliance and provides instructions for payment or filing an appeal against the demand.

Source: https://incometaxindia.gov.in



