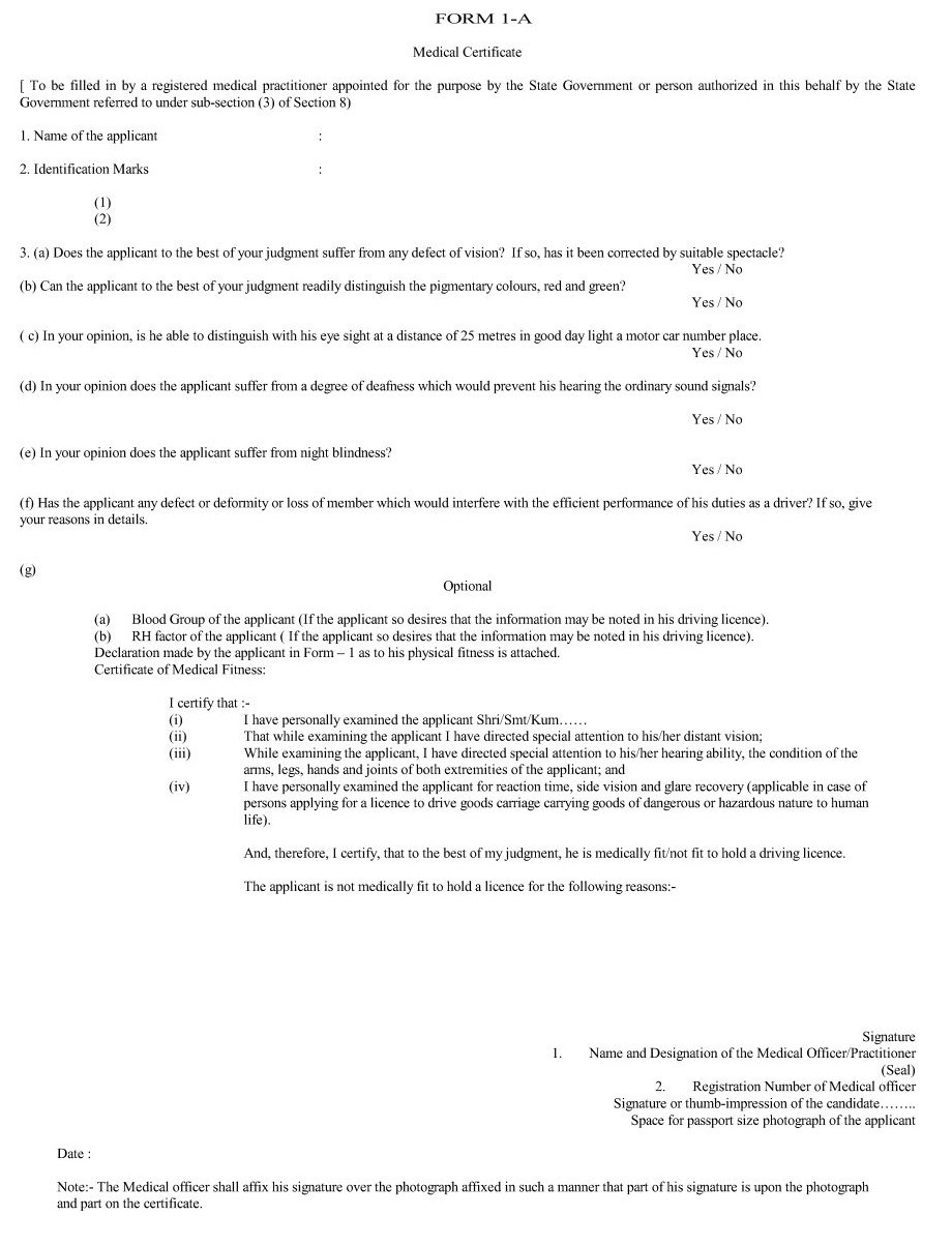
Form 1-A – Medical Certificate is required for applicants applying for a driving license, particularly for transport vehicles, to certify their medical fitness as per the Central Motor Vehicles Rules. This form must be completed by a registered medical practitioner who evaluates the applicant’s vision, hearing, physical condition, and overall ability to drive safely. It ensures that drivers meet the necessary health standards for operating motor vehicles on public roads. Download Form 1-A PDF to obtain an official medical fitness certificate and complete your driving license application process smoothly.

Source: https://transport.uk.gov.in/
File Type: PDF



